统计学
这个世界充满了很多的不确定性, 我们希望通过统计学让这个不确定性更多的掌握在我们自己的手里.
通过某种有意义的方式对数据进行收集、处理、分析和解释, 使得仅仅通过观察原始数据无法立即水落石出的一些结论得以昭示.
关于统计学的公式, 我们只需要掌握和明白公式的组成部分表示的含义即可. 无需深究, 听个响就行, 哈哈哈.
统计学又分为了 描述统计 和 推断统计 两个重要的分支! .

# 描述统计
啥叫描述统计,管它的呢.会用就行. 怎么用,从两个方面来用.
描述统计常用的两个维度(方面) - [集中趋势描述] 和 [离群趋势描述] 接下来且听我娓娓道来.
# 集中趋势描述
反映一组数据向其 [中⼼值] 靠拢或聚集的程度, 该程度通常使用均值、中位数和众数等指标来表示.
# 均数
一组数据中所有数据之和再除以这组数据的个数
⽐较敏感,数据任何⼀个值发⽣变化,均数都会随之改变!
[它将各个观测数据之间的差异性掩盖了] 此话怎讲? 一家公司平均薪资13k,看似美好,实则老板一人工资就是4w,占大头,其余的人3k-5k.
2
所以说,均值的适用范围 对称分布的数据比较适用; 但极端性数据均数绝对不适⽤!
# 中位数
全体数据 "按顺序" 排列, 数据个数为奇数取中间位置那个数; 数据个数为偶数取中间位置两个数的平均值.
不受极端值的影响,在具有个别极⼤或极⼩值的分布数列中,中位数⽐均数更具有代表性.
中位数只考虑居中位置,其他变量值⽐中位数⼤多少或⼩多少,它⽆法反映出来,所以我们也是只能看到部分信息!
2
# 众数
⼀组数据当中, 出现次数最多的那个数
优点: 能够很好的反映数据的集中趋势 + 不易受数据中极端数值的影响
缺点: 当数据没有明显的集中趋势时,众数则完全无意义 eg: 1 2 3 4 5这种众数就没有意义啦.
举例说明众数的应用:
Q:如何决策一个造鞋厂对不同尺码的生产任务呢?
A:在大批量生产的男式皮鞋中有多种尺码,其中40码的销售量最多,这说明40码就是众数.
可代表男式皮鞋尺码的一般水平,宜大量生产,而其余尺码的生产量就要相应少一些,这样才能满足市场上大部分消费者的需要.
2
3
4
5
6
7
# 四分位数
四分位数用于找寻一组数据中可能存在的极端值(也称作异常值).

我们将一组数据 "按照顺序" 排列,并进行以下设定:
| 设定 | 含义 |
|---|---|
| Q1 | 25%中位数, 也称为 下四分位数 |
| Q2 | 中位数 |
| Q3 | 75%中位数, 也称为 上四分位数 |
| IQR | 四分位距 = Q3 - Q1 |
| MAX | 上极限 = Q3 + 1.5 x IQR |
| MIN | 下极限 = Q1- 1.5 x IQR |
大于MAX(上极限) 和 小于MIN(下极限) 的值, 我们将其叫做异常值!
# 离散趋势描述
反映 一组数据向其中⼼值偏离的程度 / 一组数据的稳定度, 该程度通常使用方差或标准差等指标来表示.
eg: A组学生样本的标准差是17.06, B组学生样本的标准差是12.16 。那么证明A组学生之间的差距要比B组学生之间的差距大.
# 方差-标准差
| 指标 | 含义 | 公式 |
|---|---|---|
| 离均差 | 每一项与均值 相差多远/离散程度 | x-μ |
| 离均差平方和 | 每一项的离均差相加不能体现整个样本的离散程度,因为有正有负,可抵消. 为了消除正负号的影响, 所以需要 每一项的离均差需先平方,再相加 | ∑(x-μ)² |
| 方差 | 当两个样本的数量相同, 离均差平方和越小的样本 越稳定/离散程度越小 那么两个样本的数量不相同呢? 就没有可比性了. 为了消除 样本数量的影响,需要用到方差.即 离均差平方和 除以 样本数量. | ∑(x-μ)² / n |
| 标准差 | ⽅差开根号就是标准差 |
让ChatGPT给我们举个例子:

# 推断统计
推断统计学是研究如何 根据样本数据去推断总体数据 的方法.
# 几个重要概念
# 总体和样本
| 术语 | 含义 |
|---|---|
| 总体 | 某批⽣产的所有灯泡就是总体 |
| 样本 | 在⼀个较⼤范围的研究对象中随机抽出⼀部分个体进⾏观察或预测, 这些个体的测量值构成的集合称为样本 eg: 随机从中抽取5%的灯泡进⾏检验, 随机抽取的5%的灯泡就是样本 |
# 分类变量
| 术语 | 含义 | 举例 |
|---|---|---|
| 无序分类变量 | 说明事物类别的⼀个名称 | 比如: 性别有男女两种, 二者无大小之分,无顺序之分.. 同理, 血型、民族也是. |
| 有序分类变量 | 说明事物类型的⼀个名称, 但是有次序之分 | 例如: 满意度分为 不满意 一般 满意 三者是有顺序的 |
So, 非数值的数据 都要进行分类, 注意 有序和无序之分. 因为建模时,对其所作的预处理的手段是不一样的!
# 数值型变量
| 术语 | 含义 | 举例 |
|---|---|---|
| 连续型变量 | 它可以在一个或多个连续的区间内任意取值, 可以是 无限 多个可能的值 | 身高、年龄、体重、金额 |
| 离散型变量 | 它的取值通常是可数的、整数的, 且有限或者有限可列 | 抛硬币的结果 (正面或反面) 掷骰子的结果 (1到6点) |
经验而言, 有度量单位的变量一般都是连续型变量.
# 概率相关
| 术语 | 含义 |
|---|---|
| 随机事件 | eg: 在抛掷一枚硬币的试验中, "正面向上" 是一个随机事件 |
| 概率 | 刻画随机事件发生的可能性, 取值介于0-1之间 eg: P(正面) = 0.5 |
| 小概率事件 | -1- 如果随机事件发⽣的概率⼩于或等于0.05, 则它是⼀个⼩概率事件, 表示该事件在⼤多数情况下不会发⽣ -2- ⼩概率原理: ⼀般认为⼩概率事件在⼀次随机抽样中不会发生. ⼩概率原理是推断统计的基础. |
| 随机变量 | 抛硬币, 只有正面和反面的两种结果. -- 抛硬币正反面 这个随机变量就是 离散型的 身高, 有无数种结果. -- 身高这个随机变量就是 连续型的. |
| 随机抽样 | 每个个体最终是否⼊选在抽样进⾏前是不可知的 但是其⼊选的可能性是确切可知的(每个个体被抽到的概率是相等的) |
随机变量可分为 离散型随机变量 和 连续性随机变量.
随机变量 >> 随机事件的数量化.
⽐如:抛硬币,出现正⾯,我们定义为"成功",记为1 ; 出现反⾯定义为"失败", 记为0.
那{0 ,1} 就是本次实验的结果的量化值,为随机变量可能出现的值.
随机变量又可分为离散型随机变量和连续性随机变量.
- 离散型随机变量
- 随机变量X可以⼀⼀列举出来,在⼀定区间范围内X是有限个的,可数的.
例如: 抛硬币 X可取1或0
- 连续性随机变量
- 随机变量X⽆法⼀⼀列举出来,在⼀定区间范围内是⽆限个的,不可数的.
例如: 统计北京市30岁以上男性身⾼, 每个⼈的身⾼都不⼀样, 测量单位⼀定的情况下, 数据是连续的.
2
3
4
5
6
7
8
9
10
11
# 概率分布
随机变量的概率存在⼀定的规律, 这个规律叫做概率分布
离散型随机变量的概率分布有: 二项分布、几何分布 - 这两个与伯努利试验有关;
连续型随机变量的概率分布有: 正态分布
★何为伯努利试验? 指 单次随机试验, 只有"成功" 和 "失败" 这两种结果.
# 二项分布
⼆项分布是指在 n次 独⽴的伯努利试验中, 所期望的结果出现次数的概率
二项分布的公式如下:

ps: 3! = 3*2*1
关于二项分布的系数 C(n,k) 举个例子就很好理解了.
抛5次硬币,2次正面朝上的情况有种? 有10种情况(出现正面记为T,反面记为F)-- 就是排列组合
TTFFF,FTTFF,FFTTF,FFFTT,TFTFF,FTFTF,FFTFT,TFFTF,FTFFT,TFFFT -- 可能出现在第一次第二次;第一次第三次;等
2
公式中各个变量的含义如下:
| 变量 | 含义 |
|---|---|
| X | 随机变量X |
| n | 指进行伯努利试验的总次数 |
| k | 指在n次伯努利试验中 成功发生/出现期望的结果 的次数为k次 |
| p | 指每次伯努利试验 成功的概率/出现期望结果的概率 |
| 1-p | 指每次伯努利试验 失败的概率 |
| C(n,k) | 指组合数, 表示从n次试验中选择k次成功的方式数 |
案例1: 某篮球队的一名运动员进行定点投篮, 假设每次投中的概率是0.6, 求他投10次中8次的概率.
计算过程: {10! / [8! * (10-8)!]} * 0.6^8 * (1-0.6)^(10-8)
案例2:
盒子中装有8个彩球(红球4个+绿球2个+黄球2个), 现在有放回的取3次, 每次取一个小球, 求取到的3个小球恰好有两个红球的概率.

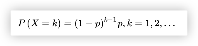
# 几何分布
在n次伯努利试验中, 试验k次才得到第一次成功的机率. 详细地说, 前k-1次皆失败, 第k次成功的概率.
几何分布的公式如下:

案例: 抛硬币, 正面反面的概率都是1/2, 求 抛到第三回 才第一次出现正面的概率.
计算过程: (1-0.5)^(3-1) * 0.5
# 正态分布
正态分布曲线呈钟型, 两头低, 中间高
正态分布的概率密度函数如下:

该概率密度函数的曲线长这个样子:

在后续的数据分析和机器学习中会经常看到它的身影.Hhh.
正态曲线的背景知识点: 95%的数据分布在均值周围2个标准差的范围内 ; μ=0, 𝛔^2=1 则叫做标准正态分布.
参数μ 表示均值 ; 参数𝛔 表示标准差 / 𝛔^2则是方差
人的身高是符合正态分布的,求一个人身高为170的概率. 将x=170代入函数即可!
2
# 抽样的应用
数据量小时很容易收集, 但数据量大时, 就很难决定该如何有效的、正确的和省时省力的收集数据了.
这时, 就需要用到统计学的 [样本抽样] 了
说在前面:
抽样分布是啥? 所有的样本/每组样本 的统计量(均值、方差等) 形成的分布 就是样本的抽样分布.
借助总体分布来理解, 全国人民的身高分布符合正态分布, 呈现钟型, 两头低, 中间高. 那么每组样本的均值呈现的曲线就是抽样分布.
抽样分布呈现的曲线有三种, 卡方分布、T分布、F分布. 在这里我们了解下前两个.
卡方分布、T分布定义、公式啥的 很青涩难以理解. 非专业人士, 琢磨不透. 我们知道它的作用即可!
# 抽样方法
统计学的核心就是用样本估计总体. 在大部分的情况下抽样是获取总体信息的唯一途径.
因此为了实现这一目的, 我们可以采取简单随机抽样、分层抽样、整体抽样和系统抽样这些方式进行抽样.
简单随机抽样: 从包括总体N个抽样单位的总体中随机地、一个一个地抽取n个单位作为样本.
系统抽样: 将总体中的所有抽样单位按照一定顺序进行排列, 然后每隔k个单位进行一次抽样,其中k为一个特定的数字.
整群抽样与分层抽样的区别:
-1- 分层抽样要求各层之间的差异很大,层内个体或单元差异小; 而整群抽样要求群与群之间的差异比较小,群内个体或单元差异大;
-2- 分层抽样的样本是从每个层内抽取若干单元或个体构成; 而整群抽样则是要么整群抽取,要么整群不被抽取.
>> 举个栗子: 口香糖有 香蕉、苹果、梨子 三种口味.
分层 - 香蕉口味的所有口香糖为一层;苹果口味的所有口香糖为一层;梨子口味的所有口香糖为一层
整群 - 每一盒口香糖都有n片香蕉味的、n片苹果味的、n片梨子味的. 每一盒口香糖形成一个群!
2
3
4
5
6
7
8
9
10
# 抽样分布 之卡方分布
卡方分布的作用: 卡方检验
卡方检验用于检测观察到的 [类别变量的分布] 是否与期望的不同
首先举两个栗子来了解卡方分布的自由度.
① 假设我们有5个年龄段, 我们想要检验这些年龄段的分布是否符合均匀分布的预期.
在这种情况下, 卡方分布的自由度将是 k−1 = 5−1 = 4, 其中 k 是年龄段的数量.
② 掷骰子, 我们想验证 每个点的分布是否 符合均匀分布的预期.
在这种情况下, 卡方分布的自由度将是 k−1 = 6−1 = 5, 其中 k 是骰子的面数.

进行了36次投骰子实验, [每次投掷都可看作是一个样本, 每个样本的统计量是投掷的结果].
这个投掷的结果/每个样本的统计量 的分布按照我们的预期应该是均匀分布的. 也就是 1点-6点, 都会出现6次. 函数上体现是一条直线.
但真实的样本统计量分布曲线呈现的样子不是我们想的那样的, 点数高的面次数多, 点数少的面次数少.
所以, 我们就说 骰子有问题?? 为了证明实验结果的有效性, 就要进行 卡方拟合度检验.
卡方拟合度检验的步骤如下:
-step1- 计算每个面的理论频数(假设均匀分布下每面出现的次数期望相同).
-step2- 计算卡方统计量.
-step3- 使用卡方分布的分位点或p值来判断观察到的频数是否与理论分布一致.

在此示例卡中
f = (3-6)^2/6 + (6-6)^2/6 + (5-6)^2/6 + (6-6)^2/6 + (7-6)^2/6 + (9-6)^2/6
= 3/2 + 0 + 1/6 + 0 + 1/6 + 3/2
= 10/3 ≈ 3.3333
统计量可能的值,也就是1点-2点-3点-4点-5点-6点,共6种 (也可以理解成类别)
统计量的情况数减去1就是自由度k
3.3333 < 11.07 所以该次实验是有效的!
2
3
4
5
6
7
8
9
# 抽样分布 之T分布
T分布的作用: T检验
T检验用来检验两组数据之间的均数 是否存在 显著差异.
案例: A班体育成绩的平均分是 80分, B班体育成绩的平均分是82分. 那么如何确定一个班是强于另一个班的呢?
单纯比较平均分是不准确的,用T检验来证明!

我们可以发现:
1.组间差异越大,t值越大
2.组内差异越大,t值越小
3.样本量越大,t值越大
■ 使用T检验的满足条件:
1.被测量的变量(两个班级的分数)需要在总体和样本中呈现正态分布。
注:根据t分布可知,当自由度/样本量大于30则t分布近似正态分布
2.两个样本之间的方差不能相差太多。
2
3
4
5
6
7
8
9
# 中心极限定理
中心极限定理指的是给定一个任意分布的总体.
我们每次从这些总体中随机抽取 n 个个体, 一共抽 m 次.
然后把这 m 组抽样分别求出平均值, 这些平均值的分布接近正态分布.
案例分析理解:
现在我们要统计全国的人的体重,看看我国平均体重是多少.当然,我们把全国所有人的体重都调查一遍是不现实的.
我们打算一共调查1000组,每组50个人. 然后,我们求出第一组的体重平均值、第二组的体重平均值,一直到最后一组的体重平均值.
中心极限定理说: 这些平均值是呈现正态分布的. 并且,随着组数的增加,效果会越好.
最后,当我们再把1000组算出来的平均值加起来取个平均值,这个平均值会接近全国平均体重.
2
3
4
敲黑板(¯﹃¯)
- 总体本身的分布不要求正态分布.
eg: 人的体重是正态分布的; 掷一个骰子是平均分布, 但每组的平均值也会组成一个正态分布(最高点应该在3.5附近)
想一哈嘛,掷骰子每个面的概率都是一样的, 掷n次平均值肯定是 (1+2+3+4+5+6)/6=3.5, 若分成多组投掷, 大多数组的平均值都会是3.5附近 - 样本每组要足够大,但也不需要太大. 取样本的时候, 一般认为, 每组大于等于30个. 即可让中心极限定理发挥作用。